Display Style

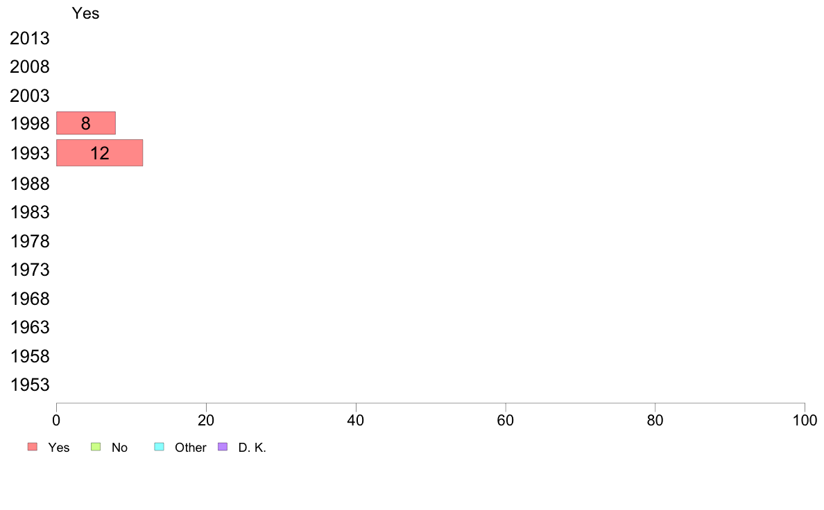
#2.80d Health problems: depression
(Hand card) Depression?
1Yes
2No
3Other(Specify)4 D.K.
Target : Chubu(West)     All Response CategoriesNo
  (C) 2017 The Institute of Statistical Mathematics