Outline
Results
Links
Q & As
Display Style
Table
Graph
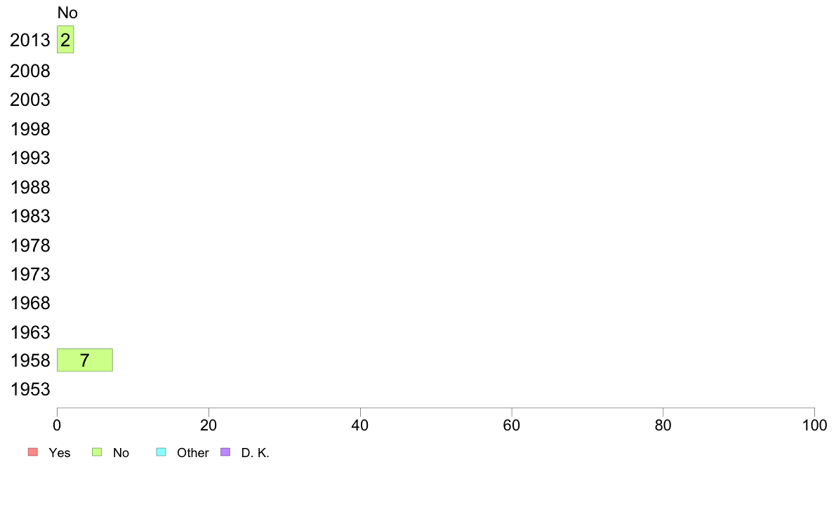
#2.3 Are you happy?
If you have to give the answer in one word, would you say you are happy?
1
Yes [Including "somewhat happy" and "normal"]
2
No [Not happy]
3
Other(Specify)
4
D.K.
Target : Chubu(West)
All Response Categories
Yes
No
Other
D. K.
(C) 2017 The Institute of Statistical Mathematics